熟女直播

您的位置: 熟女直播 党建思政支部建设 → 正文
支部建设

熟女直播 本科生党支部关于确定渠洋等141名同志为第二十一期入党积极分子的公示

[日期:2024-04-15]



根据发展党员工作有关规定,经熟女直播 本科生党支部召开支部委员会讨论,同意确定渠洋等141名同志为第二十一期入党积极分子。

根据党章及中国共产党发展党员工作细则的有关规定,现予以公示,接受党员群众监督。凡对公示对象有意见及异议者,请在公示期内以口头或书面形式向本科生党支部或熟女直播 党委反映。

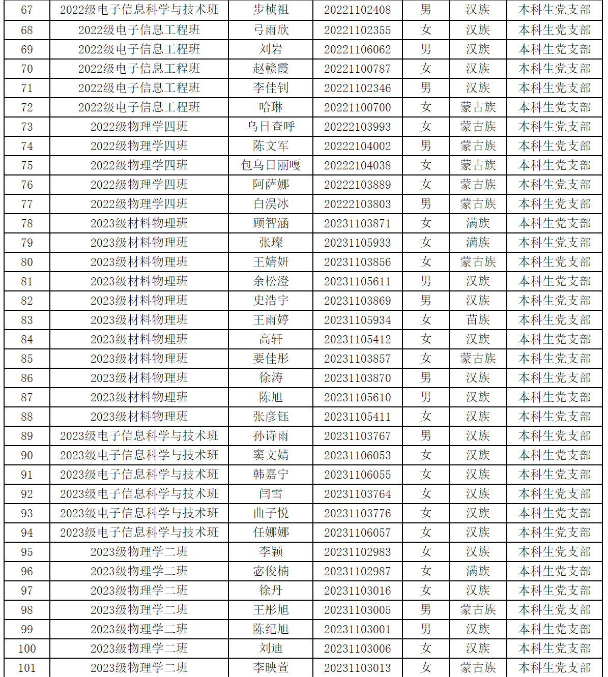
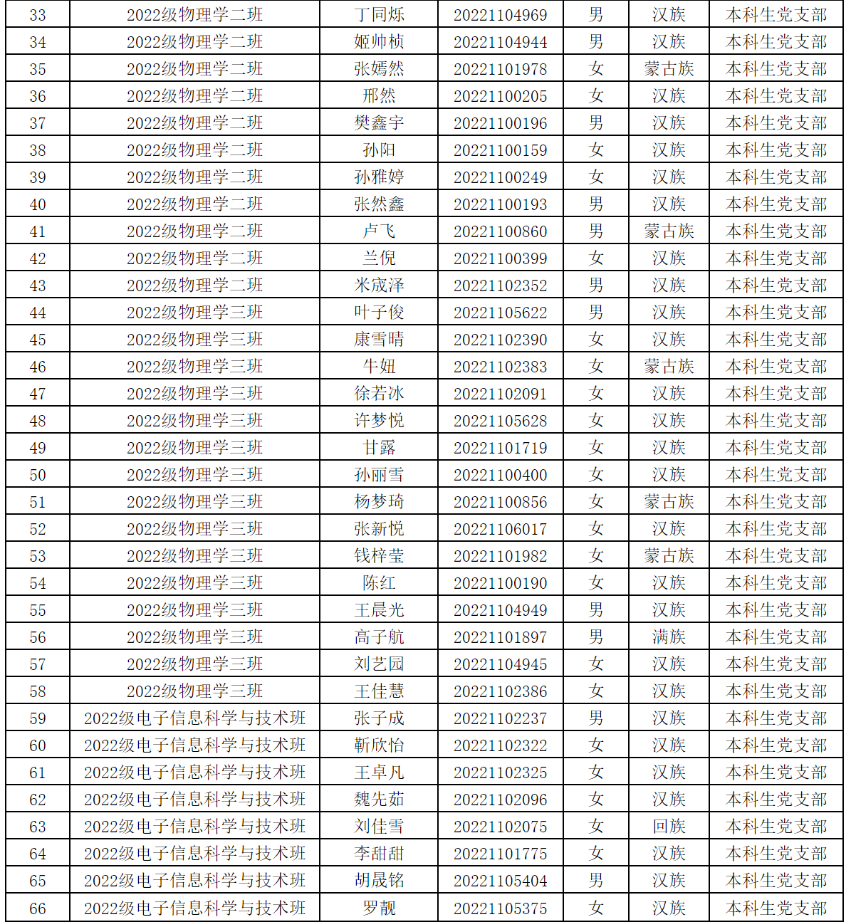
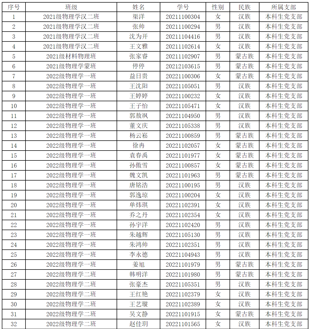
(后附名单)

公示期:2024年4月15日﹣4月19日,共5天。

联系电话:0471-7383860、18586031945


熟女直播 本科生党支部

                               2024年415日