


近日,熟女直播
的Francois Guillou研究员和伊博乐副研究员所在科研团队与荷兰代尔夫特理工大学(TU Delft)合作在探索新型无稀土永磁材料方面取得重要突破。其研究成果“(Fe,Co)2(P,Si)无稀土永磁体:从宏观单晶到亚微米颗粒”和“Fe1.93-xCoxP1-ySiy化合物的晶体结构和磁性”分别在国际知名期刊《材料学报》(Acta Materialia)和《合金与化合物杂志》(Journal of Alloys and Compounds)上发表,并获得发明专利一项。

该研究依托内蒙古自治区功能材料物理与化学重点实验室,并得到国家自然科学基金、内蒙古自治区青年科技英才、高端外国专家、内蒙古自治区高等学校科学研究、熟女直播
高层次人才引进等项目的支持。
永磁材料作为一种重要的功能材料,被广泛应用于家电、能源、交通、机械、医疗等领域,在国民经济中占有举足轻重的地位。近年来由于稀土元素的资源稀缺和环境因素,开发低成本高性能的新型低稀土或无稀土永磁材料已成为迫切需要解决的科研难题和关注点。
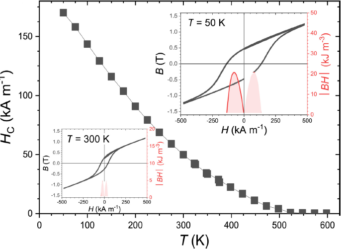
科研团队针对此问题对(Fe,Co)2(P,Si)系列材料展开了系统的结构与永磁性能研究。该团队设计和制备了新颖的(Fe,Co)2(P,Si)单晶和亚微米晶粒,通过微观组织调控永磁性能和磁畴结构分析,成功研制出在室温下具有大磁晶各向异性、高居里温度和大饱和磁化强度,理论最大磁能积达到|BH|max ≈ 165 kJ m-3的永磁材料。该材料完全由3d过渡金属和非金属元素构成,具有成本较低和资源广泛的优点,有望填补稀土永磁和铁氧体之间的空缺。该研究为新型无稀土永磁材料的开发提供了理论指导,也为我区获得了原创性知识产权。